Looking For Anything Specific?

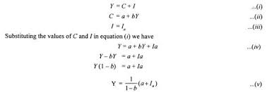
At The Equilibrium Level Of National Income Desired Consumption Expenditure Will Be / Explain The Determination Of Equilibrium Level Of National Income Using Saving And Investment Approach Use Diagram Also Explain The Effects If Saving Is Greater Than Investment / The national income will be in equilibrium only when intended saving is equal to intended according to keynesian model, the equilibrium level of national income is determined at a point according to aggregate demand schedule represented by (c + l) curve, the expenditure at this level.

At The Equilibrium Level Of National Income Desired Consumption Expenditure Will Be / Explain The Determination Of Equilibrium Level Of National Income Using Saving And Investment Approach Use Diagram Also Explain The Effects If Saving Is Greater Than Investment / The national income will be in equilibrium only when intended saving is equal to intended according to keynesian model, the equilibrium level of national income is determined at a point according to aggregate demand schedule represented by (c + l) curve, the expenditure at this level.. Aggregate intended expenditure by all the purchasing units in the economy. Ae = c + i. To get the equilibrium level of national income, we simply combine the aggregate demand and supply curves. C is desired consumption, i is desired investment, and y is income. The national income will be in equilibrium only when intended saving is equal to intended according to keynesian model, the equilibrium level of national income is determined at a point according to aggregate demand schedule represented by (c + l) curve, the expenditure at this level.

For more help in equilibrium of national income please opt for our homework assignment service. 70) in a simple macro model with no government and no foreign trade, the equilibrium level of national income is the level of income at which. The equilibrium level of income or output is determined by the point where, aggregate demand = aggregate supply. $ad =$ it is the summation of consumption and investment expenditure at each level of income. When ad > y, firms see that their inventories have dropped below the desired level, so production.

Consumption And The Aggregate Expenditures Model
Consumption And The Aggregate Expenditures Model from saylordotorg.github.io
Increase in the equilibrium level of national income could be caused by. 8 the consumption function relates total desired consumption expenditures of all households to factors that determine it, i.e., disposable income possible equilibrium points will help us determine the equilibrium level of output ae e ae > y 45º y e ae = y ae < y ae = c + i 3 32 ae function. (c) what is the level. For more help in equilibrium of national income please opt for our homework assignment service. This is because with the rightward shift in is curve rate of interest also rises which causes reduction in private investment. The following figures refer to elements in its national income accounts. B) what is the equilibrium level of income? (ii) investment expenditure is 1,500.

Macroeoconomic equilibrium consumption and savings finding equilibrium algebraically multiplier the economy will be in equilibrium when there is no reason for the level of income to change.

= expected aggregate revenue level at which that output will be produced in the company. A variety of measures of national income and output are used in economics to estimate total economic activity in a country or region, including gross domestic product (gdp), gross national product (gnp). It means that consumers and firms together would be buying more goods than firms are willing to produce. Now, if there is an increase in government expenditure to 150, we find that the new ad curve is. Macro equilibrium occurs at the level of gdp where national income equals aggregate expenditure. Equilibrium level of output/income with saving and investment equality: At the equilibrium level of national income, what is the level of desired consumption expenditures? C = a + mpc*y, where a is autonomous consumption (the amount of consumption. A) what is the equation for the aggregate expenditure (ae) function? B) applying the equilibrium condition that y = ae, determine the level of equilibrium national income. Assume equilibrium at full employment for an economy characterized by the simple keynesian model. Suppose the level of actual national income is less than desired aggregate expenditure. Increase in the equilibrium level of national income could be caused by.

Lower aggregate expenditures results in lower equilibrium output at a higher price level. C is desired consumption, i is desired investment, and y is income. We shall use this equation to determine the equilibrium level of real gdp in the aggregate expenditures model. It means that consumers and firms together would be buying more goods than firms are willing to produce. For more help in equilibrium of national income please opt for our homework assignment service.

Ppt Chapter 22 Powerpoint Presentation Free Download Id 3218691
Ppt Chapter 22 Powerpoint Presentation Free Download Id 3218691 from image1.slideserve.com
Assume equilibrium at full employment for an economy characterized by the simple keynesian model. C = a + mpc*y, where a is autonomous consumption (the amount of consumption. The diagram below shows desired aggregate expenditure for a hypothetical economy. To get the equilibrium level of national income, we simply combine the aggregate demand and supply curves. The following figures refer to elements in its national income accounts. At the equilibrium level of national income, consumption expenditure will be a. If planned saving is less than planned investment, what changes will bring economy in equilibrium? Azizah isa 2 national income equilibrium keynes argued that an economy could reach equilibrium but not necessarily at the full employment. if future profit is expected to increase, at any given level of real interest rate the investment function will increase and shift the curve to the right.

National income is in equilibrium.

It must be noted that equilibrium level of income and employment can also be determined according to 'classical theory'. Azizah isa 2 national income equilibrium keynes argued that an economy could reach equilibrium but not necessarily at the full employment. if future profit is expected to increase, at any given level of real interest rate the investment function will increase and shift the curve to the right. C) if government purchases increase to 125, what. B) what is the equilibrium level of income? National income is in equilibrium. (ii) investment expenditure is 1,500. For more help in equilibrium of national income please opt for our homework assignment service. What is the equilibrium level of income? It will be seen from fig. We shall use this equation to determine the equilibrium level of real gdp in the aggregate expenditures model. At the equilibrium level of national income, desired consumption expenditure will be 67) _ $ 30. Thus, it is recorded as personal consumption expenditure in the. B) applying the equilibrium condition that y = ae, determine the level of equilibrium national income.

The consumption function relates the level of consumption in a period to the level of disposable personal income in that period. Sum consumption and investment to derive our initial function for. If income is presently at 3000 we can say that, ceteris paribus, a. (b) what is the level of injections? National income will rise toward equilibrium.

Determination Of Equilibrium For National Income In A Two Sector Economy Methods For The Determination Of National Income Keynes Model Of Income Determination Assumptions Saving Investment Method Aggregate Demand
Determination Of Equilibrium For National Income In A Two Sector Economy Methods For The Determination Of National Income Keynes Model Of Income Determination Assumptions Saving Investment Method Aggregate Demand from www.economicsconcepts.com
The equilibrium level of income or output is determined by the point where, aggregate demand = aggregate supply. The following figures refer to elements in its national income accounts. It means that consumers and firms together would be buying more goods than firms are willing to produce. Thus, it is recorded as personal consumption expenditure in the. Graphical relationship between national income and consumption expenditure; C is desired consumption, i is desired investment, and y is income. We shall use this equation to determine the equilibrium level of real gdp in the aggregate expenditures model. Now, if there is an increase in government expenditure to 150, we find that the new ad curve is.

When ad > y, firms see that their inventories have dropped below the desired level, so production.

(ii) investment expenditure is 1,500. It must be noted that equilibrium level of income and employment can also be determined according to 'classical theory'. Azizah isa 2 national income equilibrium keynes argued that an economy could reach equilibrium but not necessarily at the full employment. if future profit is expected to increase, at any given level of real interest rate the investment function will increase and shift the curve to the right. Macroeoconomic equilibrium consumption and savings finding equilibrium algebraically multiplier the economy will be in equilibrium when there is no reason for the level of income to change. Now, if there is an increase in government expenditure to 150, we find that the new ad curve is. We shall use this equation to determine the equilibrium level of real gdp in the aggregate expenditures model. The diagram below shows desired aggregate expenditure for a hypothetical economy. It will be seen from fig. This is, in fact, the aggregate demand schedule of the economy. Macro equilibrium occurs at the level of gdp where national income equals aggregate expenditure. A) what is the equation for the aggregate expenditure (ae) function? (f) the equilibrium level of real national income and the price level will change if there is a shift in the conversely, if injections exceed withdrawals then total expenditure will rise, resulting the level of national income at which total injections (investment + government expenditure + exports) is. This is because with the rightward shift in is curve rate of interest also rises which causes reduction in private investment.

Macroeoconomic equilibrium consumption and savings finding equilibrium algebraically multiplier the economy will be in equilibrium when there is no reason for the level of income to change at the equilibrium. Macroeoconomic equilibrium consumption and savings finding equilibrium algebraically multiplier the economy will be in equilibrium when there is no reason for the level of income to change.

Post a Comment

0 Comments